Inhaltsverzeichnis
2.1. Theoretische Grundlagen

2.1.2. Bewegungsabhängigkeit

Um die Bewegungsabhängigkeit der Glieder eines MTs untereinander zu untersuchen, betrachten wir den Vorgang des schrittweisen Aufbaus dieses MTs aus AGn. Wird um eine AG erweitert, dann genügen die Glieder des so entstehenden MT (der eine Teilstruktur des gesamten MTs ist), um eine zwangläufige Bewegung aller Glieder dieser AG festzulegen. Die Glieder der AGn, um die danach erweitert wird, können auf die Bewegung der Glieder dieser AG also keinen Einfluss mehr haben.

Für die Untersuchung der Eigentlichkeit rückt dadurch besonders diejenige AG ins Blickfeld, um die beim Ableiten des MTs als Letzte erweitert wird. Denn von den dort enthaltenen Gliedern hängt keine Bewegung im restlichen Getriebe ab. Ein Glied, dessen Bewegung von jedem anderen abhängt, kann sich also nur innerhalb der zuletzt angefügten AG befinden. Existieren mehrere AGn, um die als Letzte erweitert werden könnte, so ist die Bewegung der Glieder dieser beiden AGn wechselseitig voneinander unabhängig. Ein MT ist also genau dann ein eigentliches Getriebe, wenn der Aufbau aus AGn nicht in verschiedenen Reihenfolgen so erfolgen kann, dass dabei um jeweils andere Glieder als Letzte erweitert wird.

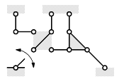
Beispiel 3:

 AG-Zerlegung

ist eigentliches Getriebe; nur um die rechte AG kann als Letzte erweitert werden. Die Bewegung der Glieder dieser Gruppe hängt von der Bewegung aller Glieder des Mechanismus ab.

Beispiel 4:

 AG-Zerlegung

ist kein eigentliches Getriebe; sowohl um die linke als auch um die rechte AG könnte als Letzte erweitert werden. Die Bewegung der Glieder dieser beiden AGn ist wechselseitig von einander unabhängig.

2.2. Zerlegen in Assur-Gruppen